Упр.1.2 ГДЗ Мордкович Семенов 7 класс (Алгебра)
Решение #1

Рассмотрим вариант решения задания из учебника Мордкович, Семенов, Александрова 7 класс, Бином:
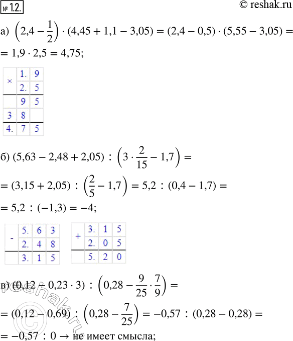
1.2. Найдите значение числового выражения.
а) (2,4 - 1/2) · (4,45 + 1,1 - 3,05);
б) (5,63 - 2,48 + 2,05) : (3 · 2/15 - 1,7);
в) (0,12 - 0,23 · 3) : (0,28 - 9/25 · 7/9);
г) (5,28 - 3,12 + 0,34) : (2,7 · 4/9 + 1,3);
д) (7 : 14/15 - 8,9) · (4,29 + 2,31 - 1,6);
е) (7/13 · 2,6 + 5,4) : (2,36 + 1,24 - 6 · 3/5).
*размещая тексты в комментариях ниже, вы автоматически соглашаетесь с пользовательским соглашением