Упр.137 ГДЗ Колягин Ткачёва 7 класс (Алгебра)
Решение #1

Рассмотрим вариант решения задания из учебника Колягин, Ткачёва, Фёдорова 7 класс, Просвещение:
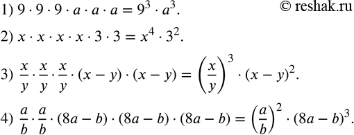
137. Упростить выражение, используя запись произведения в виде степени:
1) 9•9•9•a•a•a;
2) x•x•x•x•3•3;
3) x/y•x/y•x/y•(x-y)•(x-y);
4) a/b•a/b•(8a-b)•(8a-b)•(8a-b).
*размещая тексты в комментариях ниже, вы автоматически соглашаетесь с пользовательским соглашением