Упр.160 ГДЗ Колягин Ткачёва 7 класс (Алгебра)
Решение #1

Рассмотрим вариант решения задания из учебника Колягин, Ткачёва, Фёдорова 7 класс, Просвещение:
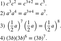
160. Записать произведение в виде степени:
1) c^3 c^2;
2) a^3 a^4;
3) (1/2 a)^7 (1/2 a);
4) (3b) (3b)^6.
*размещая тексты в комментариях ниже, вы автоматически соглашаетесь с пользовательским соглашением