Упр.164 ГДЗ Тетрадь-тренажёр Бунимович 6 класс (Математика)

Решение #1

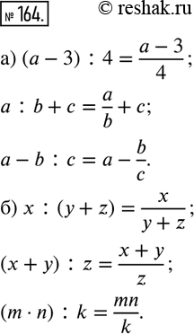
Изображение 164. Запишите выражение, используя в качестве знака деления дробную черту:а) (a-3) :4;    a :b+c;     a-b :c; б) x :(y+z);    (x+y) :z;   (m·n)...

Рассмотрим вариант решения задания из учебника Бунимович, Кузнецова, Минаева 6 класс, Просвещение:
164. Запишите выражение, используя в качестве знака деления дробную черту:
а) (a-3) :4; a :b+c; a-b :c;
б) x :(y+z); (x+y) :z; (m·n) :k.
*Цитирирование задания со ссылкой на учебник производится исключительно в учебных целях для лучшего понимания разбора решения задания.
*размещая тексты в комментариях ниже, вы автоматически соглашаетесь с пользовательским соглашением