Упр.196 ГДЗ Макарычев Миндюк 9 класс (Углубленный) (Алгебра)
Решение #1

Рассмотрим вариант решения задания из учебника Макарычев, Миндюк, Нешков 9 класс, Просвещение:
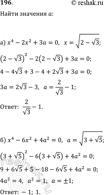
196. При каких значениях a:
а) число v(2-v3) является корнем уравнения x^4-2x^2+3a=0;
б) число v(3+v5) является корнем уравнения x^4-6x^2+4a^2=0?
*размещая тексты в комментариях ниже, вы автоматически соглашаетесь с пользовательским соглашением