Упр.2.211 ГДЗ Виленкин Жохов 6 класс Часть 1, Просвещение (Математика)

Решение #1

Изображение 2.211. Выполните вычитание:а) 5 7/15 - 3/20;   в) 6 5/7 - 3/14;    д) 3 2/3 - 3 4/11;б) 4 7/12 - 2/9;    г) 7 5/7 - 4 2/3;   е) 7 5/12 - 3 2/9.Для того, чтобы...

Решение #2

Изображение 2.211. Выполните вычитание:а) 5 7/15 - 3/20;   в) 6 5/7 - 3/14;    д) 3 2/3 - 3 4/11;б) 4 7/12 - 2/9;    г) 7 5/7 - 4 2/3;   е) 7 5/12 - 3 2/9.Для того, чтобы...

Рассмотрим вариант решения задания из учебника Виленкин, Жохов, Чесноков 6 класс, Просвещение:
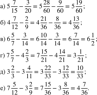
2.211. Выполните вычитание:
а) 5 7/15 - 3/20; в) 6 5/7 - 3/14; д) 3 2/3 - 3 4/11;
б) 4 7/12 - 2/9; г) 7 5/7 - 4 2/3; е) 7 5/12 - 3 2/9.

Для того, чтобы выполнить вычитание смешанных чисел, необходимо дробные части привести к общему знаменателю, затем отдельно выполнить вычитание целых частей и дробных частей.
Если числитель и знаменатель дроби умножить на одно и то же натуральное число, то получится дробь равная данной.
Если в ответе получается сократимая дробь, необходимо числитель и знаменатель разделить на одно и то же число.

а) 5 7/15-3/20=5 (7•4)/(15•4)-(3•3)/(20•3)=(5-0)+(28/60-9/60)=5+(28-9)/60=5 19/60

б) 4 7/12-2/9=4 (7•3)/(12•3)-(2•4)/(9•4)=(4-0)+(21/36-8/36)=4+(21-8)/36=4 13/36

в) 6 5/7-3/14=6 (5•2)/(7•2)-3/14=(6-0)+(10/14-3/14)=6+(10-3)/14=6 7/14==6 (7•1)/(7•2)=6 1/2

г) 7 5/7-4 2/3=7 (5•3)/(7•3)-4 (2•7)/(3•7)=7 15/21-4 14/21=(7-4)+(15/21-14/21)=3+(15-14)/21=3 1/21

д) 3 2/3-3 4/11=3 (2•11)/(3•11)-3 (4•3)/(11•3)=3 22/33-3 12/33=(3-3)+(22/33-12/33)==0+(22-12)/33=10/33

е) 7 5/12-3 2/9=7 (5•3)/(12•3)-3 (2•4)/(9•4)=7 15/36-3 8/36=(7-3)+(15/36-8/36)=4+(15-8)/36=4 7/36
*Цитирирование задания со ссылкой на учебник производится исключительно в учебных целях для лучшего понимания разбора решения задания.
*размещая тексты в комментариях ниже, вы автоматически соглашаетесь с пользовательским соглашением