Упр.2.269 ГДЗ Виленкин Жохов 6 класс Часть 1, Просвещение (Математика)

Решение #1

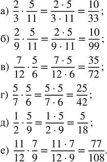
Изображение 2.269. Найдите произведение:а) 2/3 · 5/11;   б) 2/9 · 5/11;   в) 7/12 · 5/6;   г) 5/7 · 5/6;   д) 1/2 · 5/9;   е) 11/12 ·...

Рассмотрим вариант решения задания из учебника Виленкин, Жохов, Чесноков 6 класс, Просвещение:
2.269. Найдите произведение:
а) 2/3 · 5/11; б) 2/9 · 5/11; в) 7/12 · 5/6; г) 5/7 · 5/6; д) 1/2 · 5/9; е) 11/12 · 7/9.
*Цитирирование задания со ссылкой на учебник производится исключительно в учебных целях для лучшего понимания разбора решения задания.
*размещая тексты в комментариях ниже, вы автоматически соглашаетесь с пользовательским соглашением