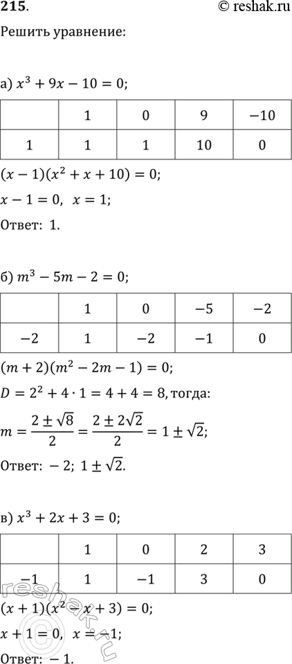
Упр.215 ГДЗ Макарычев Миндюк 9 класс (Углубленный) (Алгебра)
Решение #1

Рассмотрим вариант решения задания из учебника Макарычев, Миндюк, Нешков 9 класс, Просвещение:
215. Решите уравнение:
а) x^3+9x-10=0; г) p^3-3p+2=0;
б) m^3-5m-2=0; д) 2t^3-t^2-1=0;
в) x^3+2x+3=0; е) 4x^3-5x+1=0.
*размещая тексты в комментариях ниже, вы автоматически соглашаетесь с пользовательским соглашением