Упр.217 ГДЗ Колягин Ткачёва 7 класс (Алгебра)
Решение #1

Рассмотрим вариант решения задания из учебника Колягин, Ткачёва, Фёдорова 7 класс, Просвещение:
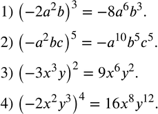
217. Возвести одночлен в степень:
1) (-2a^2 b)^3;
2) (-a^2 bc)^5;
3) (-3x^3 y)^2;
4) (-2x^2 y^3 )^4.
*размещая тексты в комментариях ниже, вы автоматически соглашаетесь с пользовательским соглашением