Упр.239 ГДЗ Колягин Ткачёва 7 класс (Алгебра)
Решение #1

Рассмотрим вариант решения задания из учебника Колягин, Ткачёва, Фёдорова 7 класс, Просвещение:
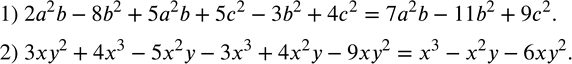
239. Привести многочлен к стандартному виду:
1) 2a^2 b-8b^2+5a^2 b+5c^2-3b^2+4c^2;
2) 3xy^2+4x^3-5x^2 y-3x^3+4x^2 y-9xy^2.
*размещая тексты в комментариях ниже, вы автоматически соглашаетесь с пользовательским соглашением