Упр.249 ГДЗ Колягин Ткачёва 7 класс (Алгебра)
Решение #1

Рассмотрим вариант решения задания из учебника Колягин, Ткачёва, Фёдорова 7 класс, Просвещение:
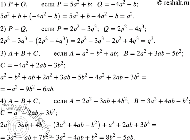
249. Упростить выражение:
1) P+Q,если P=5a^2+b; Q=-4a^2-b;
2) P-Q,если P=2p^2-3q^3; Q=2p^2-4q^3;
3) A+B+C,если A=a^2-b^2+ab; B=2a^2+3ab-5b^2; C=-4a^2+2ab-3b^2;
4) A-B+C,если A=2a^2-3ab+4b^2; B=3a^2+4ab-b^2; C=a^2+2ab+3b^2.
*размещая тексты в комментариях ниже, вы автоматически соглашаетесь с пользовательским соглашением