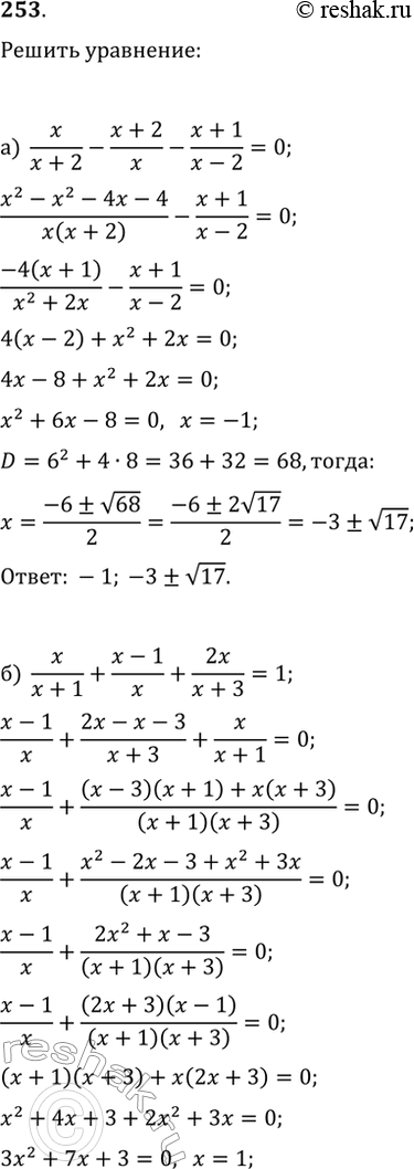
Упр.253 ГДЗ Макарычев Миндюк 9 класс (Углубленный) (Алгебра)
Решение #1

Рассмотрим вариант решения задания из учебника Макарычев, Миндюк, Нешков 9 класс, Просвещение:
253. Решите уравнение:
а) x/(x+2)-(x+2)/x-(x+1)/(x-2)=0;
б) (x+1)/(x-2)-x/(x+1)+(x+1)/(x+2)=0;
в) x/(x+1)+(x-1)/x+2x/(x+3)=1;
г) (x+1)/x+(x+3)/(x+1)-3x/(x+2)=3.
*размещая тексты в комментариях ниже, вы автоматически соглашаетесь с пользовательским соглашением