Упр.265 ГДЗ Колягин Ткачёва 7 класс (Алгебра)
Решение #1

Рассмотрим вариант решения задания из учебника Колягин, Ткачёва, Фёдорова 7 класс, Просвещение:
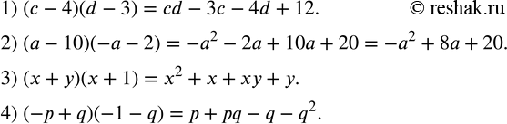
265. Выполнить умножение многочленов:
1) (c-4)(d-3);
2) (a-10)(-a-2);
3) (x+y)(x+1);
4) (-p+q)(-1-q).
*размещая тексты в комментариях ниже, вы автоматически соглашаетесь с пользовательским соглашением