Упр.265 ГДЗ Макарычев Миндюк 9 класс (Углубленный) (Алгебра)
Решение #1

Рассмотрим вариант решения задания из учебника Макарычев, Миндюк, Нешков 9 класс, Просвещение:
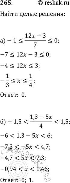
265. Найдите целые решения двойного неравенства:
а) -1?(12x-3)/7?0; б) -1,5<(1,3-5x)/4<1,5.
*размещая тексты в комментариях ниже, вы автоматически соглашаетесь с пользовательским соглашением