Упр.27.7 ГДЗ Мордкович Семенов 7 класс (Алгебра)
Решение #1

Рассмотрим вариант решения задания из учебника Мордкович, Семенов, Александрова 7 класс, Бином:
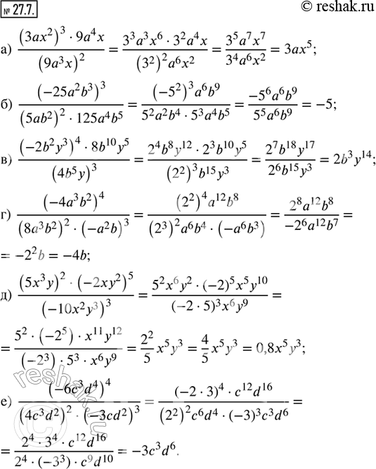
27.7. Упростите выражение:
а) ((3ax^2)^3 · 9a^4 x)/(9a^3 x)^2;
б) (-25a^2 b^3)^3/((5ab^2)^2 · 125a^4 b^5);
в) ((-2b^2 y^3)^4 · 8b^10 y^5)/(4b^5 y)^3;
г) (-4a^3 b^2)^4/((8a^3 b^2)^2 · (-a^2 b)^3);
д) ((5x^3 y)^2 · (-2xy^2)^5)/(-10x^2 y^3)^3;
е) (-6c^3 d^4)^4/((4c^3 d^2)^2 · (-3cd^2)^3).
*размещая тексты в комментариях ниже, вы автоматически соглашаетесь с пользовательским соглашением