Упр.271 ГДЗ Колягин Ткачёва 7 класс (Алгебра)
Решение #1

Рассмотрим вариант решения задания из учебника Колягин, Ткачёва, Фёдорова 7 класс, Просвещение:
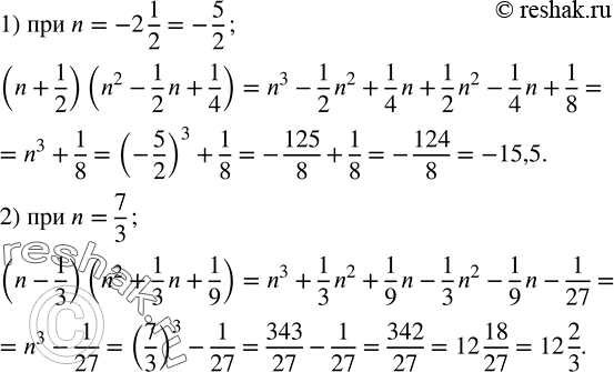
271. Вычислить значение выражения:
1) (n+1/2)(n^2-1/2 n+1/4) при n=-2 1/2;
2) (n-1/3)(n^2+1/3 n+1/9) при n=7/3.
*размещая тексты в комментариях ниже, вы автоматически соглашаетесь с пользовательским соглашением