Упр.272 ГДЗ Макарычев Миндюк 9 класс (Углубленный) (Алгебра)
Решение #1

Рассмотрим вариант решения задания из учебника Макарычев, Миндюк, Нешков 9 класс, Просвещение:
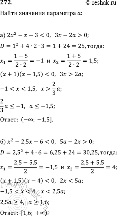
272. При каких значениях a каждое решение неравенства:
а) 2x^2-x-3<0 является решением неравенства 3x-2a>0;
б) x^2-2,5x-6<0 является решением неравенства 5a-2x>0?
*размещая тексты в комментариях ниже, вы автоматически соглашаетесь с пользовательским соглашением