Упр.28.19 ГДЗ Мордкович Семенов 7 класс (Алгебра)
Решение #1

Рассмотрим вариант решения задания из учебника Мордкович, Семенов, Александрова 7 класс, Бином:
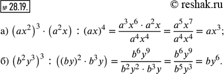
28.19. Упростите выражение:
а) (ах^2)^3 · (а^2 х) : (ах)^4; б) (b^2 y^3)^3 : ((by)^2 · b^3 y).
*размещая тексты в комментариях ниже, вы автоматически соглашаетесь с пользовательским соглашением