Упр.285 ГДЗ Колягин Ткачёва 7 класс (Алгебра)
Решение #1

Рассмотрим вариант решения задания из учебника Колягин, Ткачёва, Фёдорова 7 класс, Просвещение:
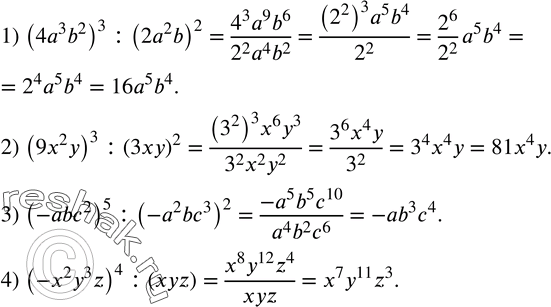
285. Упростить выражение:
1) (4a^3 b^2 )^3 :(2a^2 b)^2;
2) (9x^2 y)^3 :(3xy)^2;
3) (-abc^2 )^5 :(-a^2 bc^3 )^2;
4) (-x^2 y^3 z)^4 :(xyz).
*размещая тексты в комментариях ниже, вы автоматически соглашаетесь с пользовательским соглашением