Упр.29.14 ГДЗ Мордкович Семенов 7 класс (Алгебра)
Решение #1

Рассмотрим вариант решения задания из учебника Мордкович, Семенов, Александрова 7 класс, Бином:
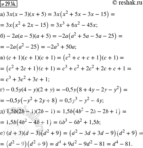
29.14. Преобразуйте выражение в многочлен стандартного вида:
а) 3x(x - 3)(x + 5); г) -0,5y(4 - y)(2 + y);
б) —2а(а - 5)(a + 5); д) 1,5b(2b - 1)(2b - 1);
в) (с + 1)(c + 1)(c + 1); е) (d + 3)(d - 3)(d^2 + 9).
*размещая тексты в комментариях ниже, вы автоматически соглашаетесь с пользовательским соглашением