Упр.29.3 ГДЗ Мордкович Семенов 7 класс (Алгебра)
Решение #1

Рассмотрим вариант решения задания из учебника Мордкович, Семенов, Александрова 7 класс, Бином:
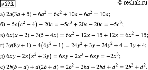
29.3. Упростите выражение:
а) 2а(3а + 5) — 6а^2; г) 3у(8у + 1) - 4(6у^2 - 1);
б) -5c(c^2 - 4) - 20с; д) бху - 2х(х^2 + 3у);
в) 6x(x — 2) — 3(5 — 4x); е) 2b(b -d) + d(2b + d).
*размещая тексты в комментариях ниже, вы автоматически соглашаетесь с пользовательским соглашением