Упр.3.15 ГДЗ Мордкович Семенов 7 класс (Алгебра)
Решение #1

Рассмотрим вариант решения задания из учебника Мордкович, Семенов, Александрова 7 класс, Бином:
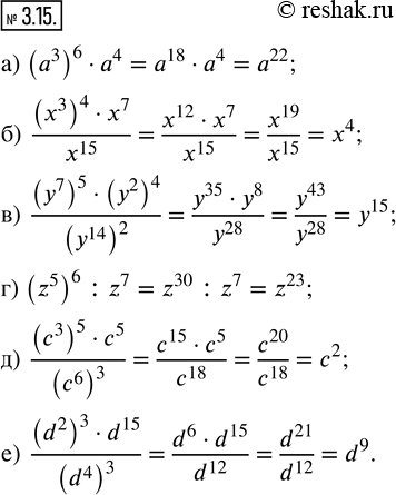
3.15. Используя правила умножения и деления степеней, упростите выражение:
а) (a^3)^6 · a^4;
б) ((x^3)^4 · x^7)/x^15;
в) ((y^7)^5 · (y^2)^4)/(y^14)^2;
г) (z^5)^6 : z^7;
д) ((c^3)^5 · c^5)/(c^6)^3;
е) ((d^2)^3 · d^15)/(d^4)^3.
*размещая тексты в комментариях ниже, вы автоматически соглашаетесь с пользовательским соглашением