Упр.3.18 ГДЗ Мордкович Семенов 7 класс (Алгебра)
Решение #1

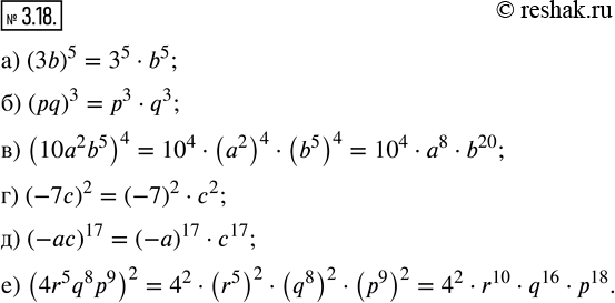
Рассмотрим вариант решения задания из учебника Мордкович, Семенов, Александрова 7 класс, Бином:
3.18. Представьте выражение в виде произведения степеней:
а) (3b)^5; г) (—7с)^2;
б) (pq)^3; д) (-ас)^17;
в) (10а^2b^5)^4; е) (4r^5q^8p^9)^2.
*размещая тексты в комментариях ниже, вы автоматически соглашаетесь с пользовательским соглашением