Упр.3.2 ГДЗ Виленкин Жохов 6 класс Часть 1, Просвещение (Математика)

Решение #1

Изображение 3.2. Замените отношение дробных чисел равным ему отношением целых чисел:а) 0,5 : 2,5;   б) 6 4/17 : 19/17;   в) 1,65 : 6 5/12.Частное  a/b  (a:b)  двух чисел  a  и...

Решение #2

Изображение 3.2. Замените отношение дробных чисел равным ему отношением целых чисел:а) 0,5 : 2,5;   б) 6 4/17 : 19/17;   в) 1,65 : 6 5/12.Частное  a/b  (a:b)  двух чисел  a  и...
Дополнительное изображение

Рассмотрим вариант решения задания из учебника Виленкин, Жохов, Чесноков 6 класс, Просвещение:
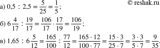
3.2. Замените отношение дробных чисел равным ему отношением целых чисел:
а) 0,5 : 2,5; б) 6 4/17 : 19/17; в) 1,65 : 6 5/12.
Частное a/b (a:b) двух чисел a и b называют отношением этих чисел. Отношение показывает, во сколько раз число a больше числа b, или какую часть число a составляет от числа b.
Заменим отношения дробных чисел отношением целых чисел.
а) 0,5:2,5=0,5/2,5=5/25=(5•1)/(5•5)=1/5
В дробном выражении в числителе и в знаменателе переносим запятые на равное количество знаков вправо так, чтобы получились натуральные числа.
б) 6 4/17 :19/17=106/17 :19/17=106/17•17/19=(106•17)/(17•19)=106/19
в) 1,65:6 5/12=165/100 :77/12=165/100•12/77=(165•12)/(100•77)=(11•15•12)/(100•7•11)=(3•5•4•3)/(5•5•4•7)=9/35
Для того, чтобы выполнить умножение (деление) смешанных чисел, их нужно преобразовать в неправильные дроби.
Для того, чтобы преобразовать смешанное число в неправильную дробь, необходимо целую часть умножить на знаменатель дробной части к полученному произведению прибавить числитель дробной части; эту сумму записать как числитель неправильной дроби, а в её знаменатель записать знаменатель дробной части смешанного числа.
Для того, чтобы разделить одну дробь на другую, необходимо делимое умножить на число, обратное делителю, то есть у делителя поменять местами числитель и знаменатель.
Произведением двух дробей является дробь, числитель которой равен произведению числителей, а знаменатель – произведению знаменателей.
Прежде, чем перемножить числа, выполняем сокращение и выполняем вычисления.
*Цитирирование задания со ссылкой на учебник производится исключительно в учебных целях для лучшего понимания разбора решения задания.
*размещая тексты в комментариях ниже, вы автоматически соглашаетесь с пользовательским соглашением