Упр.30.15 ГДЗ Мордкович Семенов 7 класс (Алгебра)
Решение #1

Рассмотрим вариант решения задания из учебника Мордкович, Семенов, Александрова 7 класс, Бином:
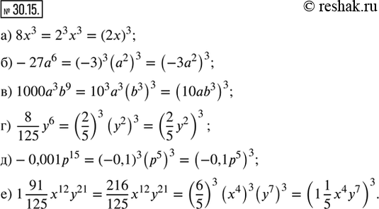
30.15. Представьте выражение в виде куба одночлена:
а) 8х^3; в) 1000а^3 b^9; д) -0,001р^15;
б) -27a^6; г) 8/125 y^6; е) 1 91/125 x^12 y^21.
*размещая тексты в комментариях ниже, вы автоматически соглашаетесь с пользовательским соглашением