Упр.30.2 ГДЗ Мордкович Семенов 7 класс (Алгебра)
Решение #1

Рассмотрим вариант решения задания из учебника Мордкович, Семенов, Александрова 7 класс, Бином:
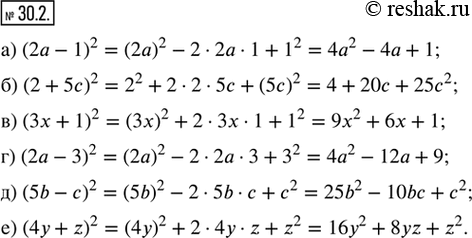
30.2. Преобразуйте квадрат двучлена в многочлен:
а) (2a - 1)^2; в) (3x + 1)^2; д) (5b - c)^2;
б) (2 + 5c)^2; г) (2a - 3)^2; е) (4y + z)^2.
*размещая тексты в комментариях ниже, вы автоматически соглашаетесь с пользовательским соглашением