Упр.307 ГДЗ Макарычев Миндюк 9 класс (Углубленный) (Алгебра)
Решение #1

Рассмотрим вариант решения задания из учебника Макарычев, Миндюк, Нешков 9 класс, Просвещение:
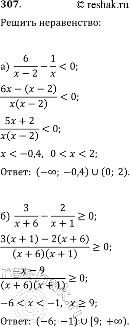
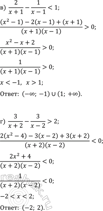
307. Найдите множество решений неравенства:
а) 6/(x-2)-1/x<0; в) 2/(x+1)-1/(x-1)<1;
б) 3/(x+6)-2/(x+1)?0; г) 3/(x+2)-3/(x-2)>2.
*размещая тексты в комментариях ниже, вы автоматически соглашаетесь с пользовательским соглашением