Упр.323 ГДЗ Колягин Ткачёва 7 класс (Алгебра)
Решение #1

Рассмотрим вариант решения задания из учебника Колягин, Ткачёва, Фёдорова 7 класс, Просвещение:
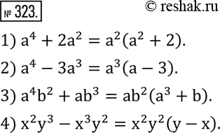
323. Вынести за скобки общий множитель:
1) a^4+2a^2;
2) a^4-3a^3;
3) a^4 b^2+ab^3;
4) x^2 y^3-x^3 y^2.
*размещая тексты в комментариях ниже, вы автоматически соглашаетесь с пользовательским соглашением