Упр.33.1 ГДЗ Мордкович Семенов 7 класс (Алгебра)
Решение #1

Рассмотрим вариант решения задания из учебника Мордкович, Семенов, Александрова 7 класс, Бином:
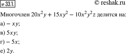
33.1. Дан многочлен 20х^2 у + 15xy^2 — 10x^2 y^2 z. На какие из указанных одночленов он делится?
а) -xy; в) 5xy; д) 5x^2 y^2;
б) xyz; г) -5x; е) 2y.
*размещая тексты в комментариях ниже, вы автоматически соглашаетесь с пользовательским соглашением