Упр.334 ГДЗ Макарычев Миндюк 9 класс (Углубленный) (Алгебра)
Решение #1

Рассмотрим вариант решения задания из учебника Макарычев, Миндюк, Нешков 9 класс, Просвещение:
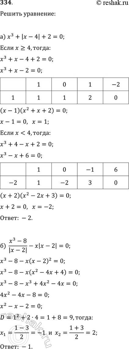
334. Решите уравнение:
а) x^3+|x-4|+2=0;
б) (x^3-8)/|x-2|-x|x-2|=0.
*размещая тексты в комментариях ниже, вы автоматически соглашаетесь с пользовательским соглашением