Упр.344 ГДЗ Колягин Ткачёва 7 класс (Алгебра)
Решение #1

Рассмотрим вариант решения задания из учебника Колягин, Ткачёва, Фёдорова 7 класс, Просвещение:
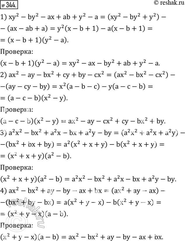
344. Разложить многочлен на множители и результат проверить умножением:
1) xy^2-by^2-ax+ab+y^2-a;
2) ax^2-ay-bx^2+cy+by-cx^2;
3) a^2 x^2-bx^2+a^2 x-bx+a^2 y-by;
4) ax^2-bx^2+ay-by-ax+bx.
*размещая тексты в комментариях ниже, вы автоматически соглашаетесь с пользовательским соглашением