Упр.347 ГДЗ Макарычев Миндюк 9 класс (Углубленный) (Алгебра)
Решение #1

Рассмотрим вариант решения задания из учебника Макарычев, Миндюк, Нешков 9 класс, Просвещение:
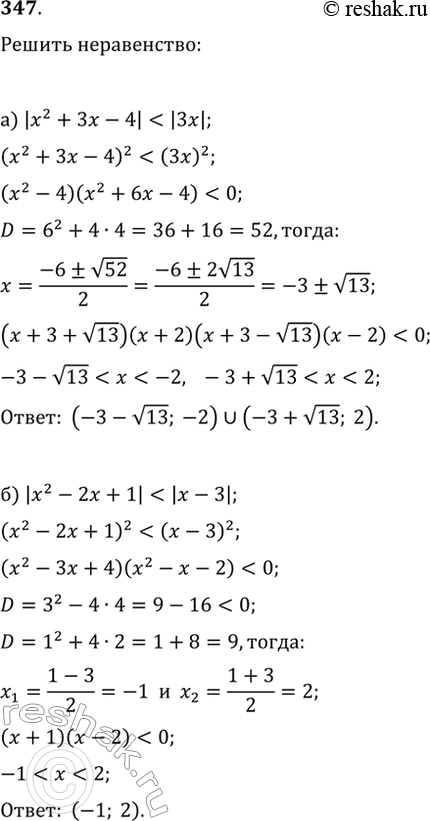
347. Найдите множество решений неравенства:
а) |x^2+3x-4|<|3x|; в) |x^2-3x+2|<|3x-2|;
б) |x^2-2x+1|<|x-3|; г) |x^2-x|>|x-1|.
*размещая тексты в комментариях ниже, вы автоматически соглашаетесь с пользовательским соглашением