Упр.35.17 ГДЗ Мордкович Семенов 7 класс (Алгебра)
Решение #1

Рассмотрим вариант решения задания из учебника Мордкович, Семенов, Александрова 7 класс, Бином:
35.17. Решите уравнение:
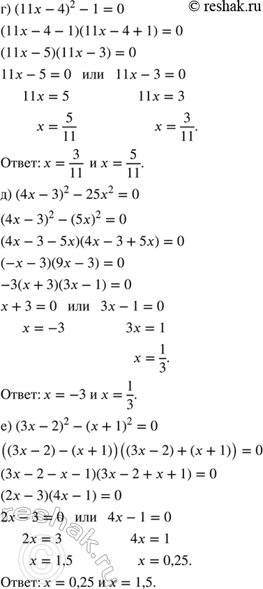
а) (2x - 5)^2 - 36 = 0; г) (11x - 4)^2 - 1 = 0;
б) (5x - 3)^2 - 9x^2 = 0; д) (4x - 3)^2 - 25x^2 = 0;
в) (x + 1)^2 - (2x + 3)^2 = 0; е) (3x - 2)^2 - (x + 1)^2 = 0.
*размещая тексты в комментариях ниже, вы автоматически соглашаетесь с пользовательским соглашением