Упр.351 ГДЗ Макарычев Миндюк 9 класс (Углубленный) (Алгебра)
Решение #1

Рассмотрим вариант решения задания из учебника Макарычев, Миндюк, Нешков 9 класс, Просвещение:
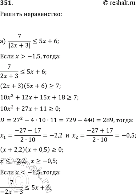
351. Решите неравенство:
а) 7/|2x+3|?5x+6;
б) (x^2+3x-10)/|x+1|<0.
*размещая тексты в комментариях ниже, вы автоматически соглашаетесь с пользовательским соглашением