Упр.357 ГДЗ Макарычев Миндюк 9 класс (Углубленный) (Алгебра)
Решение #1

Рассмотрим вариант решения задания из учебника Макарычев, Миндюк, Нешков 9 класс, Просвещение:
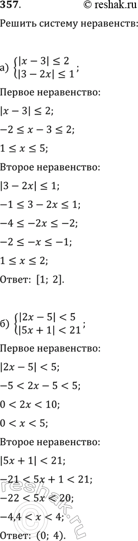
357. Решите систему неравенств:
а) {|x-3|?2, |3-2x|?1}; в) {|x+4|>2, |2x-3,5|<0,5};
б) {|2x-5|<5, |5x+1|<21}; г) {|3x-1|?7, |x-7|?2}.
*размещая тексты в комментариях ниже, вы автоматически соглашаетесь с пользовательским соглашением