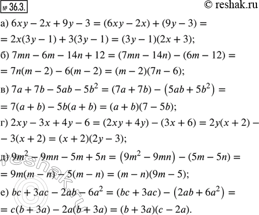
Упр.36.3 ГДЗ Мордкович Семенов 7 класс (Алгебра)
Решение #1

Рассмотрим вариант решения задания из учебника Мордкович, Семенов, Александрова 7 класс, Бином:
36.3. Разложите на множители данное выражение:
а) 6xy - 2x + 9y - 3; г) 2xy - 3x + 4y - 6;
б) 7mn - 6m - 14n + 12; д) 9m^2 - 9mn - 5m + 5n;
в) 7a + 7b - 5ab - 5b^2; е) bc + 3ac - 2ab - 6a^2.
*размещая тексты в комментариях ниже, вы автоматически соглашаетесь с пользовательским соглашением