Упр.361 ГДЗ Колягин Ткачёва 7 класс (Алгебра)
Решение #1

Рассмотрим вариант решения задания из учебника Колягин, Ткачёва, Фёдорова 7 класс, Просвещение:
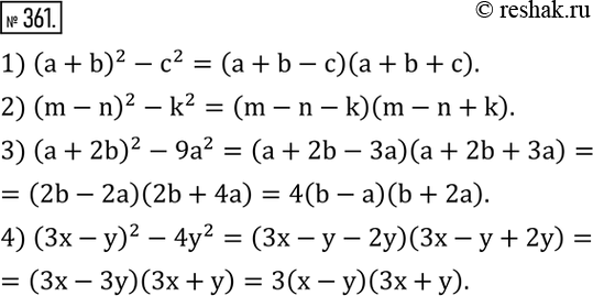
361. Разложить на множители:
1) (a+b)^2-c^2;
2) (m-n)^2-k^2;
3) (a+2b)^2-9a^2;
4) (3x-y)^2-4y^2.
*размещая тексты в комментариях ниже, вы автоматически соглашаетесь с пользовательским соглашением