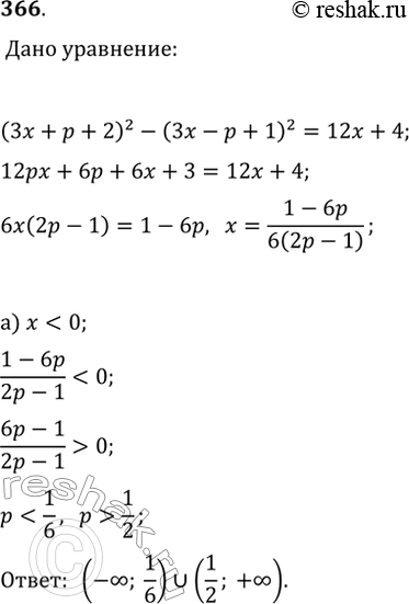
Упр.366 ГДЗ Макарычев Миндюк 9 класс (Углубленный) (Алгебра)
Решение #1

Рассмотрим вариант решения задания из учебника Макарычев, Миндюк, Нешков 9 класс, Просвещение:
366. При каких значениях параметра p уравнение (3x+p+2)^2-(3x-p+1)^2=12x+4 имеет:
а) отрицательный корень;
б) корень, принадлежащий промежутку (—0,5; 0,5)?
*размещая тексты в комментариях ниже, вы автоматически соглашаетесь с пользовательским соглашением