Упр.368 ГДЗ Макарычев Миндюк 9 класс (Углубленный) (Алгебра)

Решение #1

Изображение 368. При каких значениях параметра a уравнение имеет два корня:а) 4x^2-2x+a=0;   в) 2x^2+(a-4)x-2a=0;б) ax^2+8x+4=0;   г)...
Дополнительное изображение
Загрузка...

Рассмотрим вариант решения задания из учебника Макарычев, Миндюк, Нешков 9 класс, Просвещение:
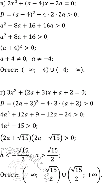
368. При каких значениях параметра a уравнение имеет два корня:
а) 4x^2-2x+a=0; в) 2x^2+(a-4)x-2a=0;
б) ax^2+8x+4=0; г) 3x^2+(2a+3)x+a+2=0?
*Цитирирование задания со ссылкой на учебник производится исключительно в учебных целях для лучшего понимания разбора решения задания.
*размещая тексты в комментариях ниже, вы автоматически соглашаетесь с пользовательским соглашением