Упр.369 ГДЗ Макарычев Миндюк 9 класс (Углубленный) (Алгебра)
Решение #1

Рассмотрим вариант решения задания из учебника Макарычев, Миндюк, Нешков 9 класс, Просвещение:
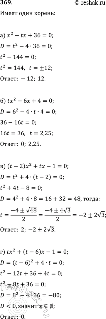
369. При каких значениях параметра t уравнение имеет единственный корень:
а) x^2-tx+36=0; в) (t-2)x^2+tx-1=0;
б) tx^2-6x+4=0; г) tx^2+(t-6)x-1=0?
*размещая тексты в комментариях ниже, вы автоматически соглашаетесь с пользовательским соглашением