Упр.37.1 ГДЗ Мордкович Семенов 7 класс (Алгебра)
Решение #1

Рассмотрим вариант решения задания из учебника Мордкович, Семенов, Александрова 7 класс, Бином:
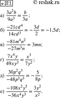
37.1. Сократите данную алгебраическую дробь:
а) (3a^2 b)/(9a^3);
б) (-24cd^4)/(14cd^3);
в) (-81m^4 n^2)/(-27m^3 n);
г) (7x^4 y)/(49xy^3);
д) (30p^2 q^3)/(-48p^3 q^3);
е) (-108x^2 y^5)/(-36x^4 y^3).
*размещая тексты в комментариях ниже, вы автоматически соглашаетесь с пользовательским соглашением