Упр.37.10 ГДЗ Мордкович Семенов 7 класс (Алгебра)
Решение #1

Рассмотрим вариант решения задания из учебника Мордкович, Семенов, Александрова 7 класс, Бином:
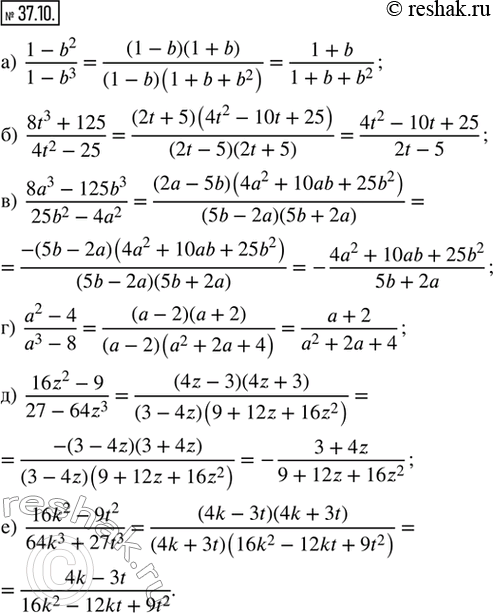
37.10. Сократите данную алгебраическую дробь:
а) (1 - b^2)/(1 - b^3);
б) (8t^3 + 125)/(4t^2 - 25);
в) (8a^3 - 125b^3)(25b^2 - 4a^2);
г) (a^2 - 4)/(a^3 - 8);
д) (16z^2 - 9)/(27 - 64z^3);
е) (16k^2 - 9t^2)/(64k^3 + 27t^3).
*размещая тексты в комментариях ниже, вы автоматически соглашаетесь с пользовательским соглашением