Упр.37.13 ГДЗ Мордкович Семенов 7 класс (Алгебра)
Решение #1

Рассмотрим вариант решения задания из учебника Мордкович, Семенов, Александрова 7 класс, Бином:
37.13. Сократите алгебраическую дробь:
а) (a^2 - b^2)/(3a - 2a^2 + 3b - 2ab);
б) (2nm - 3 + 3n - 2m)/(9 + 12m + 4m^2);
в) (a^5 - a^2 b^3 - a^3 b^2 + b^5)/(a^3 + 2a^2 b + 2ab^2 + b^3);
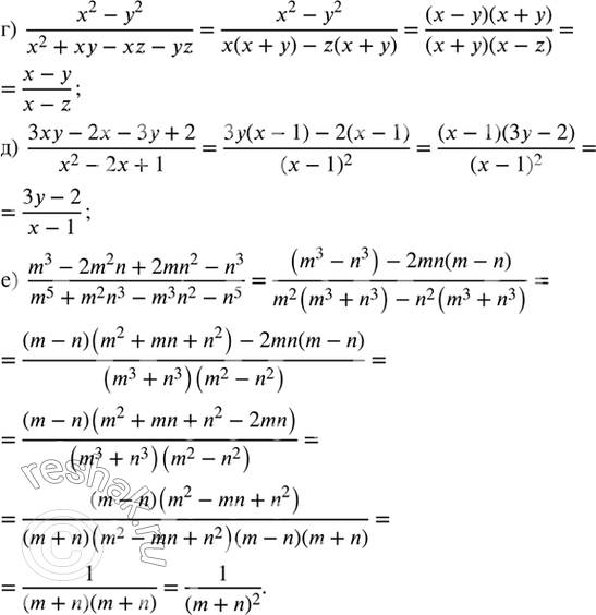
г) (x^2 - y^2)/(x^2 + xy - xz - yz);
д) (3xy - 2x - 3y + 2)/(x^2 - 2x + 1);
е) (m^3 - 2m^2 n + 2mn^2 - n^3)/(m^5 + m^2 n^3 - m^3 n^2 - n^5).
*размещая тексты в комментариях ниже, вы автоматически соглашаетесь с пользовательским соглашением