Упр.388 ГДЗ Макарычев Миндюк 9 класс (Углубленный) (Алгебра)
Решение #1

Рассмотрим вариант решения задания из учебника Макарычев, Миндюк, Нешков 9 класс, Просвещение:
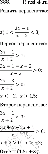
388. Найдите множество решений двойного неравенства:
а) 1<(3x-1)/(x+2)<3; б) -1<(x-2)/(x+3)<1.
*размещая тексты в комментариях ниже, вы автоматически соглашаетесь с пользовательским соглашением