Упр.394 ГДЗ Колягин Ткачёва 7 класс (Алгебра)
Решение #1

Рассмотрим вариант решения задания из учебника Колягин, Ткачёва, Фёдорова 7 класс, Просвещение:
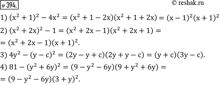
394. Разложить на множители:
1) (x^2+1)^2-4x^2;
2) (x^2+2x)^2-1;
3) 4y^2-(y-c)^2;
4) 81-(y^2+6y)^2.
*размещая тексты в комментариях ниже, вы автоматически соглашаетесь с пользовательским соглашением