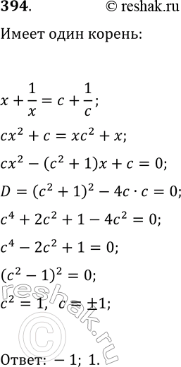
Упр.394 ГДЗ Макарычев Миндюк 9 класс (Углубленный) (Алгебра)
Решение #1

Рассмотрим вариант решения задания из учебника Макарычев, Миндюк, Нешков 9 класс, Просвещение:
394. При каких значениях параметра c уравнение x+1/x=c+1/c имеет единственный корень?
*размещая тексты в комментариях ниже, вы автоматически соглашаетесь с пользовательским соглашением