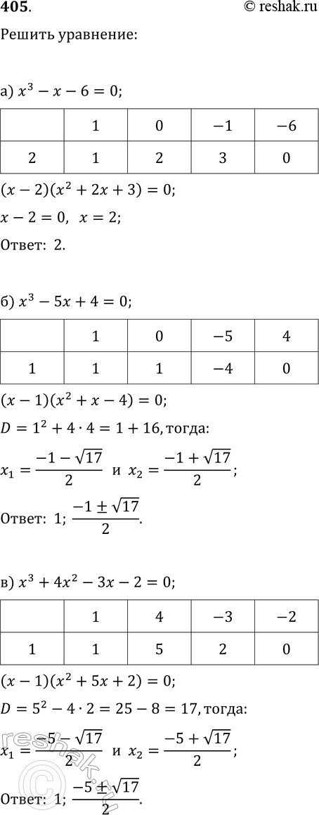
Упр.405 ГДЗ Макарычев Миндюк 9 класс (Углубленный) (Алгебра)
Решение #1

Рассмотрим вариант решения задания из учебника Макарычев, Миндюк, Нешков 9 класс, Просвещение:
405. Решите уравнение:
а) x^3-x-6=0; г) x^3+2x^2+3x+2=0;
б) x^3-5x+4=0; д) x^3-4x^2-4x-5=0;
в) x^3+4x^2-3x-2=0; е) x^4-4x^3+3x^2+4x-4=0.
*размещая тексты в комментариях ниже, вы автоматически соглашаетесь с пользовательским соглашением