Упр.422 ГДЗ Колягин Ткачёва 7 класс (Алгебра)
Решение #1

Рассмотрим вариант решения задания из учебника Колягин, Ткачёва, Фёдорова 7 класс, Просвещение:
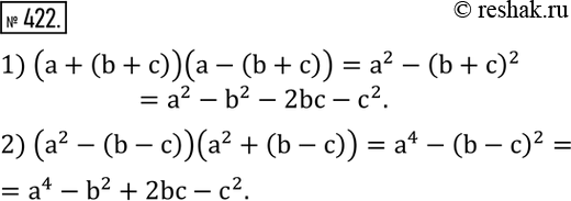
422. Записать выражение в виде многочлена:
1) (a+(b+c))(a-(b+c));
2) (a^2-(b-c))(a^2+(b-c)).
*размещая тексты в комментариях ниже, вы автоматически соглашаетесь с пользовательским соглашением