Упр.423 ГДЗ Макарычев Миндюк 9 класс (Углубленный) (Алгебра)
Решение #1

Рассмотрим вариант решения задания из учебника Макарычев, Миндюк, Нешков 9 класс, Просвещение:
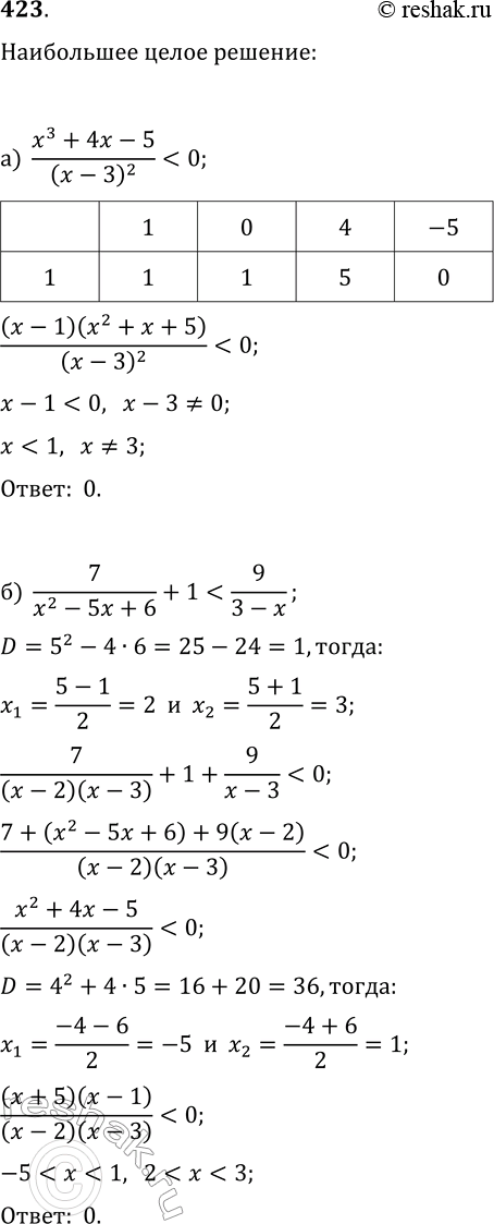
423. Найдите наибольшее целое число, удовлетворяющее неравенству:
а) (x^3+4x-5)/(x-3)^2<0; б) 7/(x^2-5x+6)+1<9/(3-x).
*размещая тексты в комментариях ниже, вы автоматически соглашаетесь с пользовательским соглашением