Упр.424 ГДЗ Макарычев Миндюк 9 класс (Углубленный) (Алгебра)
Решение #1

Рассмотрим вариант решения задания из учебника Макарычев, Миндюк, Нешков 9 класс, Просвещение:
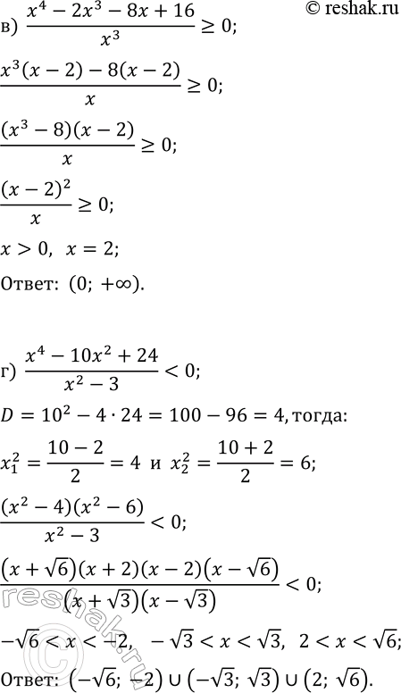
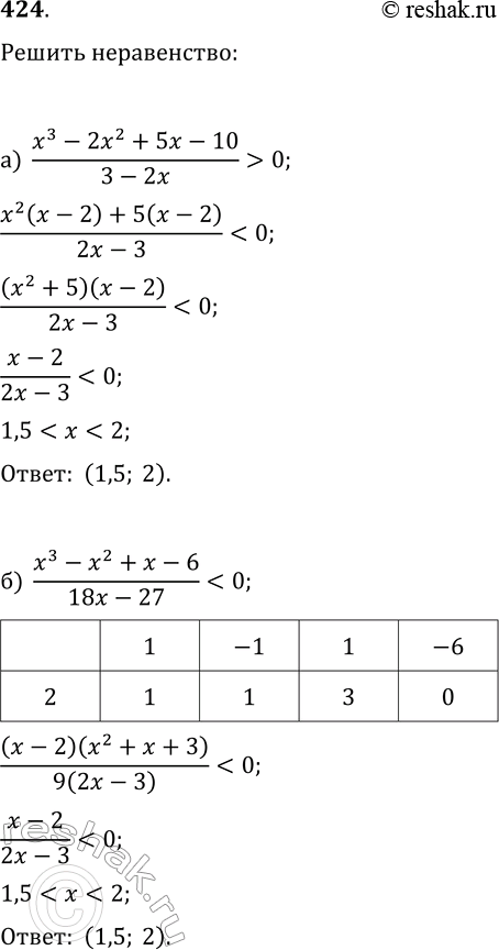
424. Решите неравенство:
а) (x^3-2x^2+5x-10)/(3-2x)>0; в) (x^4-2x^3-8x+16)/x^3?0;
б) (x^3-x^2+x-6)/(18x-27)<0; г) (x^4-10x^2+24)/(x^2-3)<0.
*размещая тексты в комментариях ниже, вы автоматически соглашаетесь с пользовательским соглашением